八闽腹地,联勤官兵几十年如一日的坚守
守住一片片宁静
东海之滨,孩子们用稚嫩的笔写下书信
向默默奉献的迷彩青春致敬


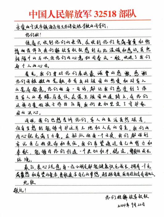
近日,驻闽某部与宁波镇海应行久外语实验学校开展“山海飞信,爱我国防”活动。轻轻铺开一纸素笺,以手写心,以心传情,盖上邮戳,满载孩子们的祝福与期盼,跨越山海飞向战位,向大山深处默默奉献的某部战士们,致以深深的敬意。




打开来信,一句句、一行行娟秀工整的字迹,感恩牺牲奉献、祝愿顺遂美满、憧憬“强军有我”。对于孩子们来说,军人是他们最崇拜的人,也是心中敬重的榜样。有的孩子关心官兵们的工作状况、生活环境;有的孩子表达了对官兵们的感恩;有的孩子还在信里写下志愿,将来也要成为解放军战士……笺短情长,一字一句都流露着对官兵们的敬意和祝福。
官兵们争相传阅,在保家卫国的日夜里,远隔千里的关爱与惦念,化为浓浓暖意,抵御守山的寂寞,激发责任与担当。“守库十几年,第一次收到这样的信。纯真的文字,真挚的感情,激动兴奋之余让我更加坚定‘守大山就是守江山,守库门就是守国门’。在接下来的工作中,我也会带着孩子们的寄托,努力奋斗,投身强军事业。”军士李怀涛说道。

官兵们纷纷写起回信,一笔一划描绘着一线军人的战斗生活……信中朴素的感情、铮铮的誓言,勉励孩子们要珍惜时光、努力学习、锻炼身体,始终保持对国防事业的热爱,共同为祖国的繁荣富强而努力奋斗。

除了回信,官兵们还将山间的小花、树上的绿叶变成书签,随信一起送抵“祖国花朵”。




复兴强军在路上,年少立志报国梦。大山的祝福,送给“祖国的未来”,崇高的敬意,献给“最可爱的人”。通过书信的形式,拉近了军民之间的距离,将强军报国的志向深深根植心间,赓续红色血脉激励官兵建功军营。(赵若昕、董浩、赵天田、解洋、桑泽凯)
【纠错】 【责任编辑:王金志】





